खबर सक्ती ...
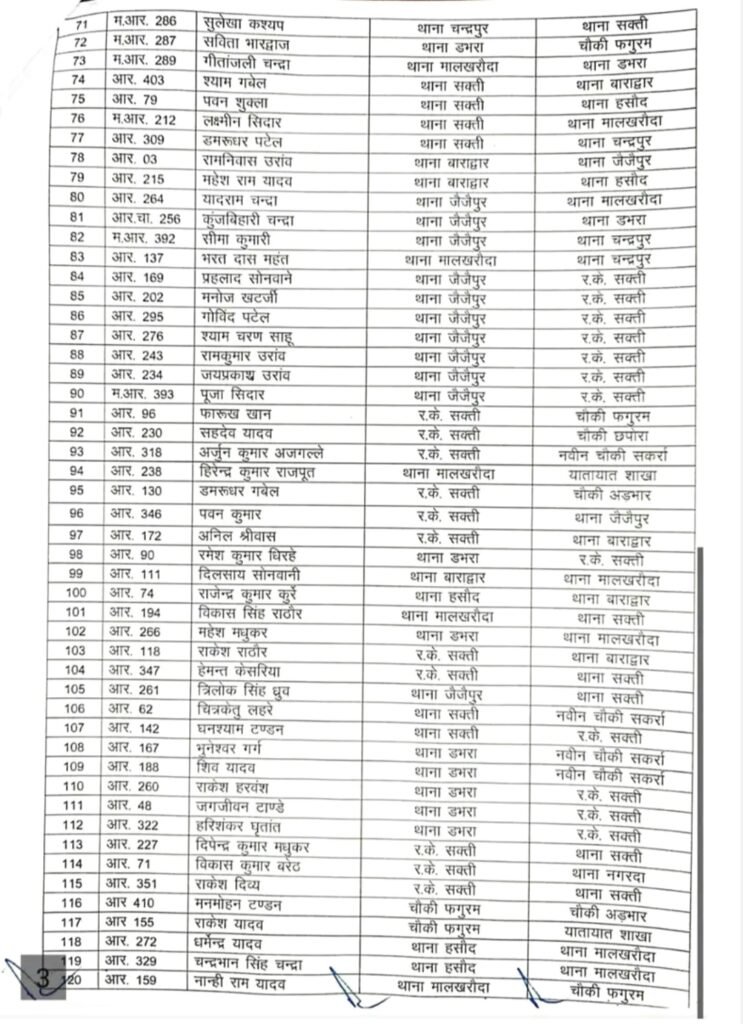
सक्ती पुलिस विभाग में बड़ा फेरबदल : 1 टीआई, 4 एसआई, 10 एएसआई सहित 143 पुलिसकर्मियों का तबादला ..

पुलिस अधीक्षक ने जारी किया आदेश, विभिन्न थाना-चौकियों में अधिकारियों-कर्मचारियों की नई पदस्थापना ..
सक्ती, पुलिस विभाग में बड़ा प्रशासनिक फेरबदल करते हुए पुलिस अधीक्षक ने जिले में पदस्थ 1 टीआई, 4 एसआई, 10 एएसआई सहित कुल 143 पुलिसकर्मियों के तबादले के आदेश जारी किए हैं।
जारी सूची के अनुसार विभिन्न थाना एवं चौकी में पदस्थ अधिकारियों-कर्मचारियों को नए स्थानों पर पदस्थ किया गया है।
आदेश तत्काल प्रभाव से लागू कर दिया गया है।
देखें जारी आदेश की पूरी सूची –




खबर सक्ती ...2 वर्ष agoबड़ी खबर: कलेक्टर एवं जिला दण्डाधिकारी ने किया अनिल चन्द्रा को जिलाबदर ..
खबर सक्ती ...3 वर्ष agoव्यापारी से 2250000 रूपये की लूट करने वाले 04 आरोपी गिरफ्तार 05 आरोपी फरार ..
ख़बर रायपुर2 वर्ष agoएनसीपी के प्रमुख पूर्व मंत्री नोबेल वर्मा कल 23 अक्टूबर को विधानसभा अध्यक्ष डॉ चरणदास महंत और मुख्यमंत्री भूपेश बघेल की मौजूदगी में कांग्रेस में होंगे शामिल ..
खबर जगदलपुर ..3 वर्ष agoस्कूल शिक्षा विभाग में 3266 से अधिक रिक्त प्राचार्य पद पर पदोन्नति की माँग को लेकर “छत्तीसगढ़ राज्य प्राचार्य पदोन्नति संघर्ष मोर्चा” के द्वारा जगदलपुर में बस्तर संभागीय बैठक सफलतापूर्वक संपन्न हुई ..
खबर सक्ती ...2 वर्ष agoगुलमोहर के फूलों की दीवानगी ऐसी कि आजादी के अमृतोत्सव पर लगाए “75 गुलमोहर पौधे …
Uncategorized3 वर्ष agoप्रदेश में पटवारियों की हड़ताल समाप्त ..
खबर सक्ती ...3 वर्ष agoज्ञानकुंज पब्लिक हायर सेकेंडरी स्कूल सकरेली (बा) में रंगोली, राखी मेकिंग एवं मेहंदी प्रतियोगिता का आयोजन संपन्न ..
खबर सक्ती ...3 वर्ष agoसक्ती जिले के डभरा सीएचसी में उपलब्ध हुई दो विशेषज्ञ चिकित्सको की सेवा ..

























You must be logged in to post a comment Login